POMDPs

and how to solve them (approximately) using Julia

Types of Uncertainty

OUTCOME

MODEL

STATE

Markov Decision Process (MDP)

  • \(\mathcal{S}\) - State space
  • \(T:\mathcal{S}\times \mathcal{A} \times\mathcal{S} \to \mathbb{R}\) - Transition probability distribution
  • \(\mathcal{A}\) - Action space
  • \(R:\mathcal{S}\times \mathcal{A} \times\mathcal{S} \to \mathbb{R}\) - Reward

Policy: \(\pi : \mathcal{S} \to \mathcal{A}\)

Maps every state to an action.

Partially Observable Markov Decision Process (POMDP)

  • \(\mathcal{S}\) - State space
  • \(T:\mathcal{S}\times \mathcal{A} \times\mathcal{S} \to \mathbb{R}\) - Transition probability distribution
  • \(\mathcal{A}\) - Action space
  • \(R:\mathcal{S}\times \mathcal{A} \times\mathcal{S} \to \mathbb{R}\) - Reward
  • \(\mathcal{O}\) - Observation space
  • \(Z:\mathcal{S} \times \mathcal{A}\times \mathcal{S} \times \mathcal{O} \to \mathbb{R}\) - Observation probability distribution

Belief

History: all previous actions and observations

\[h_t = (b_0, a_0, o_1, a_1, o_2, ..., a_{t-1}, o_t)\]

Belief: probability distribution over \(\mathcal{S}\) encoding everything learned about the state from the history

\[b_t(s) = P(s_t=s \mid h_t)\]

Laser Tag Example

Observe - Act Loop

Belief

History: all previous actions and observations

\[h_t = (b_0, a_0, o_1, a_1, o_2, ..., a_{t-1}, o_t)\]

Belief: probability distribution over \(\mathcal{S}\) encoding everything learned about the state from the history

\[b_t(s) = P(s_t=s \mid h_t)\]

A POMDP is an MDP on the belief space

Policy: \(\pi : \mathcal{B} \to \mathcal{A}\)

Maps every belief/history to an action.

C. H. Papadimitriou and J. N. Tsitsiklis, “The complexity of Markov decision processes,” Mathematics of Operations Research, vol. 12, no. 3, pp. 441–450, 1987

POMDPs are PSPACE-Complete

Useful Approximations

  • "Certainty Equivalence": Plan assuming the most likely state in the belief
    • Optimal for LQG problems

Useful Approximations

\[Q_{MDP}(b, a) = \sum_{s \in \mathcal{S}} Q_{MDP}(s,a) b(s) \geq Q^*(b,a)\]

\(\pi(b) = \arg\max Q_{MDP}(b, a)\) is equivalent to assuming full observability on the next step

Will not take costly exploratory actions

$$Q_{MDP}(s, a) = E \left[ \sum_{t=0}^{\infty} \gamma^t R\left(s_t, \pi^*(s_t)\right) \bigm| s_0 = s, a_0 = a\right]$$

Let \(Q_{MDP}\) be the state-action value function for the fully observable MDP

Offline

Online

Value Function

Tree at current belief

\(b\)

Action Nodes

Observation Nodes

Offline Solution Methods

Crying Baby Example

Offline Methods

Advanced Point-based Methods (e.g. SARSOP)

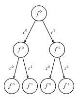
Policy Tree (for Online Methods)

\(b\)

Action Nodes

Observation Nodes

Creating the entire tree is exponentially complex

Monte Carlo Tree Search

Image by Dicksonlaw583 (CC 4.0)

POMCP

  • Uses simulations of histories instead of full belief updates

 

  • Each belief is implicitly represented by a collection of unweighted particles

 

Silver, David, and Joel Veness. "Monte-Carlo planning in large POMDPs." Advances in neural information processing systems. 2010.

Ross, Stéphane, et al. "Online planning algorithms for POMDPs." Journal of Artificial Intelligence Research 32 (2008): 663-704.

What tool should we use to study POMDPs?

This Toolbox is designed to minimize the sum of coding, execution and analysis time for those who want to explore level set methods. Computationally, Matlab is not the fastest environment in which to solve PDEs, but as a researcher I have found that the enviroment has several important advantages over faster compiled implementations

From the level set toolbox website:

Fast to Execute

Compiled Languages

  • Fortan
  • C
  • C++

Easy to Write

"Dynamic" Languages

  • Python
  • Matlab
  • R

Easy to Read

A programming language should be...

Fast to Execute

Easy to Write

Easy to Read

A programming language should be...

Julia is among the fastest languages

The Celeste team achieved peak performance of 1.54 petaflops using 1.3 million threads on 9,300 Knights Landing (KNL) nodes of the Cori supercomputer at NERSC. This result was achieved through a combination of a sophisticated parallel scheduling algorithm and optimizations to the single core version which resulted in a 1,000x improvement on a single core compared to the previously published version.

Julia is fast to execute

Julia is easy to read and write

Julia is easy to read and write

How is it so fast?

How is it so fast?

Julia is Multi-paradigm

  • Procedural
  • Functional (immutability emphasized)
  • Object Oriented (multiple dispatch)
  • Optionally Typed (add :: where you want)
  • Meta
process(x::YourAbstractType, y::MyAbstractType)

Metaprogramming (JuMP)

Automatic Differentiation

POMDPs.jl - An interface for defining and solving MDPs and POMDPs in Julia

Challenges for POMDP Software

  1. POMDPs are computationally difficult.
  2. There is a huge variety of
    • Problems
      • Continuous/Discrete
      • Fully/Partially Observable
      • Generative/Explicit
      • Simple/Complex
    • Solvers
      • Online/Offline
      • Alpha Vector/Graph/Tree
      • Exact/Approximate
    • Domain-specific heuristics

Explicit

Generative

\(s,a\)

\(s', o, r\)

Previous C++ framework: APPL

"At the moment, the three packages are independent. Maybe one day they will be merged in a single coherent framework."